MarkPrintables.Org | Free Printable Power Of Attorney Form California - Dive into an exciting lineup of open-access Free Printable Power Of Attorney Form California pulled from trustworthy web resources. Hosted straight on the creators' own platforms for proper attribution and reliability-- simply click via to the official websites and freely accessibility, save, or print without spending a penny.
Free Printable Power Of Attorney Form California

Free Printable Power Of Attorney Form California
Disclaimer: The printables featured on MarkPrintables.Org are collected from various public websites. We do not own any of the files directly. Each printable remains the property of the author, and should comply with the creator’s stated terms.





![california-power-of-attorney-templates-free-word-pdf-odt for Free Printable Power Of Attorney Form California California Power of Attorney Templates (Free) [Word, PDF & ODT] for Free Printable Power Of Attorney Form California](https://templates.legal/wp-content/uploads/2021/03/California-Medical-Power-of-Attorney-Templates.Legal_-scaled.jpg)


Free Printable Power Of Attorney Form California Images Gallery

Limited Power Of Attorney Template - Fill Online, Printable, Fillable, Blank | pdfFiller

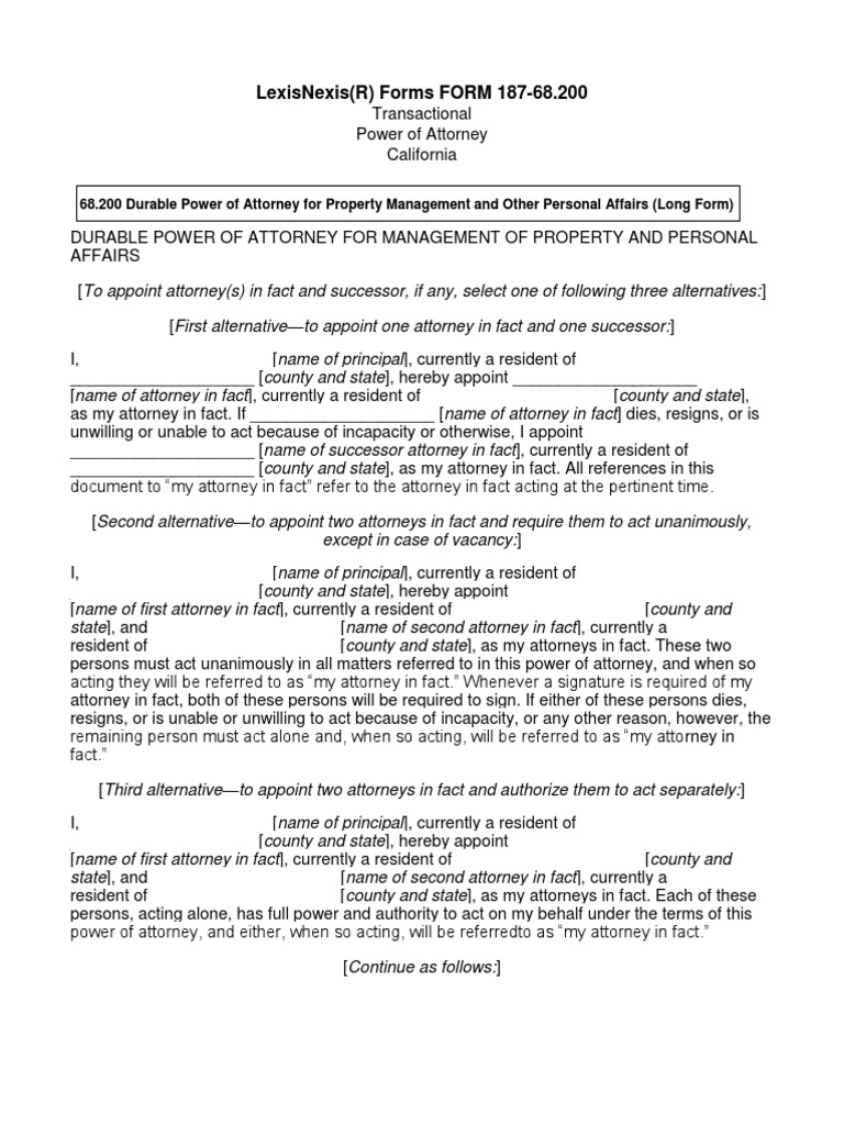
Free California Power Of Attorney Forms | PDF Templates

50+ General Power of Attorney Forms & Templates (FREE)

Power of Attorney Form (POA) | Template for Every State | LawDistrict

Free Limited (Special) Power of Attorney Forms | PDF | WORD | RTF

California Revocation Power of Attorney Form - Power of Attorney : Power of Attorney

Free Minor Power of Attorney | PDF & Word Template | LawDistrict

Free California (CA) Medical Power of Attorney Forms | PDF
![California Power of Attorney Templates (Free) [Word, PDF & ODT] california-power-of-attorney-templates-free-word-pdf-odt](https://templates.legal/wp-content/uploads/2021/03/California-Medical-Power-of-Attorney-Templates.Legal_-scaled.jpg)
California Power of Attorney Templates (Free) [Word, PDF & ODT]

Free California Advance Directive Form (Medical POA + Living Will) | PDF
Frequently Asked Questions about FREE Printable
1. Can you explain what FREE Printable is?
FREE Printable functions as a discovery directory that enables you to locate a wide variety of free printable resources. We make it easier by collecting and offering direct links to printables from various sources across the web.
2. What is the mechanism behind the site?
We find printable images (like worksheets, activity sheets, and designs) from public websites through search engines. Instead of uploading the files to our server, we provide a direct link (hotlink) to the original image on its source website. This means you access the image directly from its original home.
3. Are these printables created by you?
No, we do not. We do not create or assert rights over of any images, templates, or printables featured on our site. Ownership stays to the original creators and publishers. Our function is purely to help you discover this content.
4. What are the steps to use a linked printable?
It's highly advised that you go to the original source website by tapping the hotlink. The terms of use, license, and any restrictions are set by the original creator. Kindly adhere to their policies regarding personal or commercial use.
5. Why do some images not load or show a broken link?
This happens because the image is hosted on an external website. If the original source deletes the file, updates the URL, or goes offline, the image will fail to load on our site. We're unable to influence over the stability of these external links.
6. I am a copyright owner and want my content removed. How can I do that?
We uphold intellectual property rights. If you are the copyright holder and wish to have your content removed from our platform, send us a message with the necessary details. We will promptly remove the hotlinks to your content.
7. Does using the site cost anything?
Absolutely, accessing the site to search for and link to the linked printables is completely free. We are a free directory service for users.